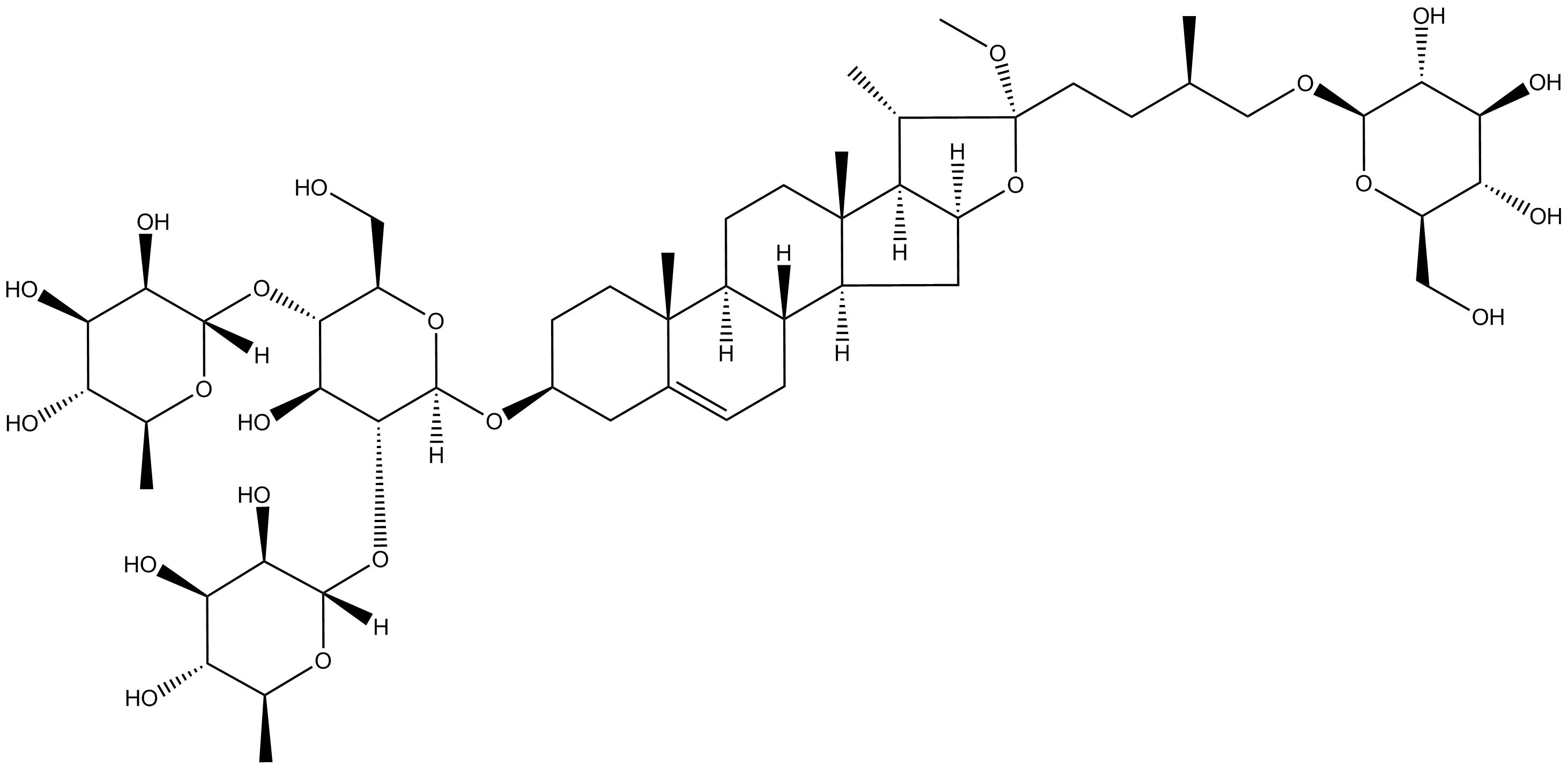
Methyl protodioscin
Catalog No.
N2575
Featured Products
Extracted from Dioscorea Nipponica;Store the product in sealed, cool and dry condition
| Physical Appearance | A solid |
| Storage | Store at -20°C |
| M.Wt | 1063.23 |
| Cas No. | 54522-52-0 |
| Formula | C52H82O22 |
| Solubility | ≥53.15 mg/mL in DMSO; insoluble in EtOH; ≥13.67 mg/mL in H2O |
| SDF | Download SDF |
| Canonical SMILES | CC1C2C(CC3C2(CCC4C3CC=C5C4(CCC(C5)OC6C(C(C(C(O6)CO)OC7C(C(C(C(O7)C)O)O)O)O)OC8C(C(C(C(O8)C)O)O)O)C)C)OC1(CCC(C)COC9C(C(C(C(O9)CO)O)O)O)OC |
| Shipping Condition | Small Molecules with Blue Ice, Modified Nucleotides with Dry Ice. |
| General tips | We do not recommend long-term storage for the solution, please use it up soon. |
Quality Control & MSDS
- View current batch:
Chemical structure








